![]()

0 1 2 3
1022. Trimethylamine,

is a pyramidal molecule. What is the hybridization at nitrogen?
A. sp
B. sp2
C. sp3
1023. Formamide,

has a planar nitrogen center. What is the hybridization at nitrogen?
A. sp
B. sp2
C. sp3
1024. One of the two equivalent energy resonance structures for formate anion is shown below.

Which carbon-oxygen bond is longer?
A
B
Both are equal
1025. The best IUPAC name for this molecule is

A. 2-chloro-7-bromo-3-methylheptane
B. 1-bromo-6-chloro-5-methylheptane
C. 1-bromo-5-methyl-6-chloroheptane
B.
C.
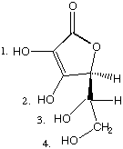
pKa = 16 | |
![]() |
pKa = 10 |
![]() |
pKa = 5 |
(Question can be used with or without this table.)
Which -OH in vitamin C contains the acidic proton? 1 2 3 4
is planar.
What is the structure of allene ?
![]()
A. planar
B. staggered
What is the structure of cumulene?
![]()
A. planar
B. staggered
Click here to see this question used with the MultiStep format.

contains which functional groups?
A. Ether, alkene, alcohol
B. Alcohol, ketone, amine
C. Alcohol, ketone, alkene
D. Ether, amine, ketone
Click here to see this question used in the MultiStep format.
A.
B. 
1088. The only structure that does NOT have an error is:

A B C D
1091. How many carbons are in tryptophane? 11, 12, 13
How many hydrogens are in tryptophane? 11, 12, 13

1096. The rings in the structure below can be considered substituents on the other ring. The orientation of the rings can be described as:
A. cis
B. trans
C. one cis, one trans
D. neither
and
A. equatorial
B. axial
C. a combination of axial and equatorial
D. neither
1105. How many degrees of unsaturation are there in benzene?
A. 2
B. 3
C. 4
D. more than 4
1107. Which one of the following numberings is correct?
A, B, C, D