Biomolecules:
Proteins 2

Home
Table of Contents
Biomolecules Gateway Page
Jmol Tutorial

In this module:

Introduction
Secondary Structure
a Helices
ß Sheets
Motifs
Tertiary Structure
Disulfide Bonds, Domains
Cofactors, Quaternary Structure
Protein Folding
Alzheimer's and "Mad-Cow" Diseases

ß Sheets

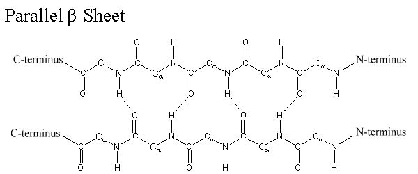
The other type of secondary structure Pauling and Corey discovered is the ß sheet. Unlike the a helix, the ß sheet is formed by hydrogen bonds between protein strands, rather than within a strand. Some other characteristics of ß sheets are displayed below.

The amino acids are more extended than in a helices, with 3.5 Å between adjacent residues.
The side chains of the amino acids alternate above and below the sheet.
As mentioned above, hydrogen bonds are formed between the amine and carbonyl groups across strands.
Reset

ß sheets are further subdivided into parallel and antiparallel ß sheets, depending on whether the strands run in the same or opposite directions (N- to C-terminus). Antiparallel ß sheets are slightly more stable than parallel ß sheets because the hydrogen bonding pattern is more optimal.

Click on the image below to see diagrams of parallel and antiparallel ß sheets.

Beta Sheets